Напишите свой ответ:
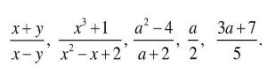
Что такое алгебраические дроби?
Ответов: 1
Не пропустите также:
Категория
- Еда, Кулинария, Рецепты
- Кино, Сериалы, Культура, Искусство
- Домашние Задания, Уроки
- Ремонт, Строительство
- Здоровье, Медицина
- Темы для взрослых
- Юридические советы, Юрист
- Авто, Мото, Тюнинг, ГИБДД
- Развлечения, Досуг, Хобби, Новый Год
- Мобильные Устройства, Планшеты
- Компьютеры, Связь, Интернет
- Знакомства, Любовь, Дружба
- Образование, Школы, ВУЗы
- Гороскопы, Сны, Гадания
- Бизнес, Финансы, Банки, Ипотека
- Услуги, Товары, Подарки
- Туризм, Путешествия, Отдых
- Семья, Дети, Дом
- Страны, Города, Адреса
- Карьера, Работа
- Спорт, Спортсмены
- Стиль, Красота, Мода, Звезды
- Фотография, Видеосъемка, Аппаратура
- Растения, Животные, Природа
- Наука, Техника, Лингвистика
- Философия, Непознанное, Психология
- Другое, Прочее